Ask Question - Get Answer

4 Ans Complete Solution of 2478 post Officer General Question paper

Asked by Admin Account (4 Bronzes) Friday, 31 Mar 2023, 08:56 PM at (Jobs Bank / Non Bank Finance Jobs)

Please log in to answer, like and save
0
Save 1

<<< Previous
Log in to Answer Next >>>

Answer(s):

Give arguments for and against on "It is not Unethical to acquire exceptionally high financial assets"


Arguments for:

Individual freedom: Individuals have the right to pursue their financial goals and use their skills, talents, and resources to accumulate wealth as long as they are not breaking any laws or engaging in any unethical practices.
Incentives for innovation and entrepreneurship: High financial rewards often drive innovation and entrepreneurship. Without the potential for significant financial gain, many people may not be motivated to take risks and create new products or services, which could hinder economic growth.
Contribution to society: Those who acquire exceptionally high financial assets often create jobs, invest in research and development, and fund philanthropic projects that benefit society. Their wealth can also contribute to economic growth, which benefits many people.
Fairness: People who work hard, take risks, and create value for others should be rewarded for their efforts, regardless of their background or circumstances.
Personal responsibility: Those who accumulate exceptionally high financial assets must make decisions that affect the lives of many people, including employees, customers, and shareholders. They also face significant risks, such as economic downturns or changes in consumer demand. By taking on this responsibility, they are contributing to the overall well-being of society.

Arguments against:

Wealth inequality: The accumulation of exceptionally high financial assets often leads to wealth inequality, which can have negative social and economic consequences. It can lead to a concentration of power and influence in the hands of a few individuals or corporations, which can undermine democracy and limit opportunities for others. Exploitation: Some people accumulate wealth by exploiting others, such as through unfair labor practices or by taking advantage of tax loopholes. This type of behavior is unethical and can harm society. Hoarding: The accumulation of wealth can also lead to hoarding, where individuals or corporations hold onto resources and assets without using them for the benefit of society. This can limit opportunities for others and hinder economic growth. Environmental impact: The pursuit of wealth often comes at the expense of the environment, as companies prioritize profits over sustainability. This can have negative consequences for the planet and future generations. Corruption: The accumulation of wealth can also lead to corruption, where individuals or corporations use their wealth and power to influence government policy or gain unfair advantages. This undermines democracy and harms society as a whole.

In conclusion, while there are arguments both for and against the accumulation of exceptionally high financial assets, it is important to consider the ethical implications of wealth accumulation. While individual freedom and incentives for innovation and entrepreneurship are important factors, it is also crucial to consider issues such as wealth inequality, exploitation, hoarding, environmental impact, and corruption. A balanced approach that takes into account the well-being of society as a whole is necessary to ensure that wealth accumulation does not harm society or undermine ethical principles.

Answered by Admin Account (4 Bronzes) Friday, 31 Mar 2023, 09:27 PM

Please log in to Upvote, Downvote and Report

women entrepreneurship and empowerment in Bangladesh


Women entrepreneurship and empowerment have become a significant topic of discussion in recent years in Bangladesh. Women in the country have shown their capabilities in various fields, including business, and are contributing to the country's economic growth. The government, along with different organizations, has been working towards providing the necessary support and resources for women entrepreneurs to help them succeed in their ventures. In this essay, we will explore women entrepreneurship and empowerment in Bangladesh, including its current state, challenges, and opportunities.


Bangladesh has made significant progress in women's participation in the workforce. According to the International Labor Organization (ILO), the female labor force participation rate in Bangladesh was 36.2% in 2020, which has been increasing steadily over the years. However, the majority of women in the workforce are in low-paying jobs, such as agriculture and garment industries. In contrast, women's participation in entrepreneurship is still relatively low, with only 13% of businesses owned by women. This situation presents an opportunity to support and promote women entrepreneurship in the country.


One of the main challenges faced by women entrepreneurs in Bangladesh is access to finance. Despite the government's efforts to increase access to finance for women entrepreneurs, they still face difficulties in obtaining loans from banks and financial institutions due to a lack of collateral or credit history. Additionally, women entrepreneurs often face discrimination and bias from banks and investors, who perceive them as high-risk borrowers. This lack of access to finance and investment hampers their ability to start and grow their businesses.


Another significant challenge is the lack of education and training opportunities for women entrepreneurs. Many women in Bangladesh have limited access to education, which limits their ability to acquire the necessary knowledge and skills needed to start and run a business. This situation is further compounded by the societal and cultural barriers that discourage women from pursuing education and entrepreneurship.


Despite these challenges, there are also opportunities for women entrepreneurship in Bangladesh. The country has a large population and a growing economy, providing a vast market for businesses. Women entrepreneurs can leverage this opportunity to create products and services that cater to the needs of the population. Additionally, the government has introduced various policies and initiatives aimed at supporting women entrepreneurship, such as the Women Entrepreneurship Development Project (WEDP) and the National Women Development Policy.


To promote women entrepreneurship and empowerment in Bangladesh, there are several steps that can be taken. Firstly, there needs to be a focus on increasing access to finance for women entrepreneurs. This can be achieved by introducing policies and initiatives that provide women with easy access to credit and investment opportunities. Additionally, there needs to be a change in the perception of women entrepreneurs and an increase in awareness about the economic and social benefits of women's entrepreneurship.


Secondly, there needs to be a focus on providing education and training opportunities for women entrepreneurs. This can be achieved by introducing vocational training programs, mentorship programs, and other initiatives that provide women with the necessary knowledge and skills to start and grow a business. The government and other organizations can work together to create awareness about the importance of education and entrepreneurship for women and provide the necessary resources to support them.


In conclusion, women entrepreneurship and empowerment in Bangladesh is a critical issue that requires attention and action. While there are challenges, there are also opportunities for women entrepreneurs to contribute to the country's economic growth. The government and other organizations must work together to provide the necessary support and resources to promote women entrepreneurship and empower women in the country. With the right policies and initiatives, women can overcome the challenges they face and succeed in their ventures, contributing to the country's overall development.

Answered by Admin Account (4 Bronzes) Friday, 31 Mar 2023, 09:16 PM

Please log in to Upvote, Downvote and Report

Translation answer:


Risk management is a very important issue for banks. Banks protect the deposits and savings of the general public. Banks manage risk under a specific policy framework. This is necessary to protect the interest of the depositor. The need for risk management is even greater during recessions. In this regard, the responsibility of the bank management is the most. It will be monitored by the bank's board of directors. The bank is facing new risks. Earlier cyber security issues were not given due importance. With the passage of time, banks are becoming more focused on.

Answered by Admin Account (4 Bronzes) Friday, 31 Mar 2023, 09:06 PM

Please log in to Upvote, Downvote and Report

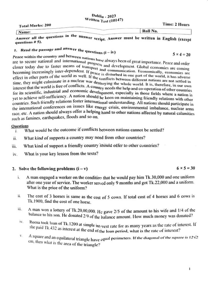
Full Solution of Officer General 2478 post bank exam. 

Answered by Admin Account (4 Bronzes) Friday, 31 Mar 2023, 08:59 PM

Please log in to Upvote, Downvote and Report
           

Related Q/A:

3 Ans Probashi Kollyan Bank Executive Officer Cash MCQ Exam of 01 Nov, 2019 Math solution by Sultan Mahmud

1 Ans IFIC Bank Limited Transaction Service Officer Job circular

2 Ans All govt Bank Job Circular 2021 in one page

1 Ans An mbbs/BDS can apply for the post bangladesh bank assistant director general?

2 Ans Govt. Banks Names of Bangladesh ?

4 Ans Complete Solution of 2478 post Officer General Question paper

1 Ans Janata Bank Officer Cash 633 posts 2016 exam MCQ question with solution

1 Ans Are you tired of dealing with the hassle of waste removal in London? Look no further! At 24/7 Waste Removal, we understand the importance of keeping your surroundings clean and free from clutter. With our efficient and reliable services, you can say goodbye to the stress of managing your waste. Our team is dedicated to providing top-notch waste removal solutions tailored to meet your needs. Whether you're a homeowner, business owner, or property manager, we've got you covered. From regular trash pickups to specialized services like bulky item removal and construction waste disposal, we handle it all with professionalism and care. What sets us apart from the rest is our commitment to sustainability. We prioritize environmentally friendly practices in every aspect of our operations. We strive to minimize waste sent to landfills by recycling and repurposing materials whenever possible. With our eco-conscious approach, you can rest assured that your waste is being handled responsibly. At 24/7 Waste Removal, we prioritize customer satisfaction above all else. Our friendly and experienced team goes above and beyond to ensure that your waste removal needs are met promptly and efficiently. We understand that time is of the essence, which is why we offer round-the-clock services to accommodate your busy schedule. Don't let waste pile up and become a burden on your life. Trust the experts at 24/7 Waste Removal to take care of it for you. Contact us today to learn more about our services and how we can help you maintain a clean and clutter-free environment in London.

1 Ans Bank Asia Job circular admit card seat plan and result download now

1 Ans Assistant Network Engineer Senior Officer 60 posts Bank job circular