Ask Question - Get Answer

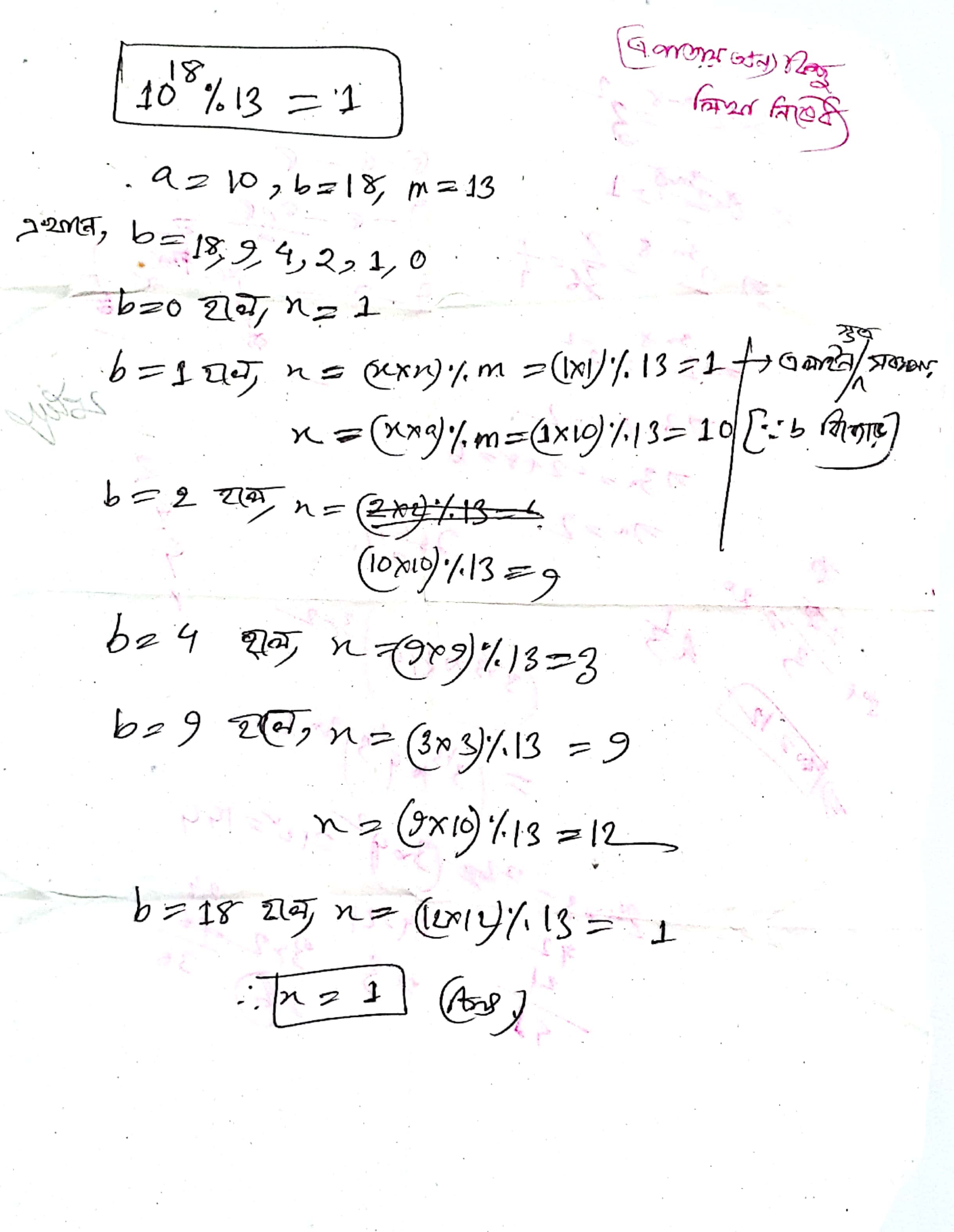
1 Ans Find the remainder from this equation (Big Mod) (a^b)%m =?

Asked by Birds of the sky (2 Golds) Friday, 17 Dec 2021, 01:54 AM at (Education Lesson)

Please log in to answer, like and save
0
Save 0

<<< Previous
Log in to Answer Next >>>

Answer(s):

Learn how to find Big Mod Remainder. 

Answered by Birds of the sky (2 Golds) Friday, 17 Dec 2021, 01:55 AM

Please log in to Upvote, Downvote and Report
           

Related Q/A:

1 Ans হুমায়ুন আজাদের সাহিত্যকর্ম মনে রাখার উপায়

1 Ans রবীন্দ্রনাথ ঠাকুরের ১২ টি উপন্যাস মনে রাখার টেকনিক/ কৌশল

1 Ans মাইকেল মমধুসূদন দত্তের নাটক মনে রাখার টেকনিক

1 Ans Write tree plantation paragraph

1 Ans আবু জাফর শামসুদ্দীন এর সাহিত্যকর্ম মনে রাখার টেকনিক

1 Ans অমিয় চক্রবর্তীর সাহিত্যকর্ম মনে রাখার উপায়

1 Ans বড় দিনের ছোট দিনের ও নিরপেক্ষ দিনের উদ্ভিদ এর নাম মনে রাখার কৌশল

7 Ans বাংলাদেশ সংবিধান খুব সহজে মুখস্ত করার কলা-কৌশল ও ছন্দ শিখুন এখানে -

1 Ans আহসান হাবীবের কাব্যগ্রন্থ গুলো মনে রাখার কৌশল

1 Ans অমিয় চক্রবর্তীর সাহিত্যকর্ম মনে রাখার উপায়